环球过滤分离技术网(http://guolvfenlitech.com)是中国过滤.分离.净化.纯化、超洁净技术行业领先的前沿科技、产品和技术信息供求,技术解决方案,技术交流分享以及过滤、分离、纯化、超洁净产品和技术供需服务平台。

全国

[切换城市]

打造互联网第一过滤分离技术网,过滤与分离技术解决方案的分享交流平台!
ͼƬ
广告位一 广告位二 广告位三 广告位四 广告位五 广告位六 广告位七 广告位八 广告位九
1 2 3 4

纳米粒度及Zeta电位分析仪(DLS)简介

2026-4-3 06:46| 发布者: guolvfenlitech6| 查看: 12| 评论: 0

摘要: 2026-04-03 环球过滤分离技术网 guolvfenlitech6纳米粒度及Zeta电位分析仪(DLS)01概述纳米粒度及Zeta电位分析仪是一种准确、快速、便捷的纳米、亚微米粒度分析测试仪器,与传统基于频移技术的光散射方法 ...








2026-04-03           环球过滤分离技术网              guolvfenlitech6








纳米粒度及Zeta电位分析仪(DLS)

01

概述

纳米粒度Zeta电位分析仪是一种准确、快速、便捷的纳米、亚微米粒度分析测试仪器,与传统基于频移技术的光散射方法相比,灵敏度可提高1000倍,可适用于诸如低介电常数、高粘度、高盐度以及等电点附近这些测量条件下的样品测量。

02

基本原理

一般情况下,Zeta电位仪直接测定的是电泳迁移率,并转化为Zeta电位,Zeta电位是通过理论推导出来的。

当电场施加于电解质时,悬浮在电解质中的带电粒子被吸引向相反电荷的电极,作用于粒子的粘性力倾向于对抗这种运动。当这两种对抗力达到平衡时,粒子以恒定的速度运动,我们一般称这个速度为电泳迁移率

图 迁移率测试原理简化示意图

已知这个速度时,通过应用Henry方程,我们可以得到粒子的Zeta电位。

式中:

ζ:Zeta电位;

UE:电泳迁移率;

ε:介电常数;

η:粘度;

f(κ a):Henry函数(1.5或1.0)。

通常在水性介质和中等电解质浓度下进行Zeta电位的电泳测定法,在这种情况下f(κa)是1.5,即Smoluchowski近似。因此,对适合Smoluchowski模型的系统,即大于0.2微米的粒子分散在含大于10-3摩尔盐的电解质溶液中,可由此算法直接从迁移率计算Zeta电位。Smoluchowski近似用于弯曲式毛细管样品池和通用插入式样品池的水相样品。对非水相的较低介电常数介质中的小粒子,通常采用Huckel近似,f(κ a)为1.0。

图极性与非极性介质中不同Henry函数的选择

03

适用样品

样品状态:可为粉末、乳液、悬浮液、蛋白生物类等,样品要求在指定分散剂中超声后肉眼能看到淡淡的样品颜色,分散均一,无沉淀及团聚。

粉末10~20 mg,液体样品每样品需提供5~10 mL,分散剂主要为去离子水和乙醇。

04

制样准备

样品浓度:每个类型的Zeta电位分析仪的样品材料,有最佳的Zeta电位分析仪的样品浓度测量范围。一般Zeta电位分析仪的样品浓度测量范围会出现以下两种情况。1.如果样品浓度太低,可能会没有足够的散射光进行测量。2.如果样品太浓,那么一个粒子散射光也会被其它粒径所散射(这称为多重散射),浓度的上限也要考虑到:在某一浓度以上,由于粒子间相互作用,粒子不再进行自由扩散。

多数样品要求稀释,这个步骤在确定最终测量值中是至关重要的。对有意义的测量,稀释介质也是非常重要的。所给出的测量结果,如没有提及所分散的介质,则是没有意义的。Zeta电位分析仪依赖于分散相的组成,因为它决定了粒子表面的特性。

稀释介质:大多数样品的分散相,可以归于两类之一:介电常数大于20的分散剂被定义为极性分散剂,如乙醇和水。介电常数小于20的分散剂被定义为非极性或低极性分散剂,如碳氢化合物类、高级醇类。

水相/极性系统:制备样品的目标,是在稀释过程中,保留表面的现存状态。只有一种方式保证这种情况。即通过过滤或离心原始样品,得到清澈的分散剂,使用这种分散剂稀释原有浓度样品。以这种方式,完美地维持了表面与液体之间的平衡。如果提取上清液是不可能的,那么需让样品自然沉淀,使用上清液中留下的小粒子是比较好好的方法。使用Smoluchowski理论近似,Zeta电位分析仪不是粒径依赖性参数。

另一种方法是尽可能接近地模拟原始介质。需考虑下述条件:系统的总离子浓度。存在的任何表面活性剂或聚合物的浓度

非极性系统:在绝缘介质如正己烷、异链烷烃中,测量样品是极为不易。它要求使用universal dip cell(通用插入式样品池)。因为此样品池较好的化学兼容性以及电极间的狭窄空间,这对于不使用高电压时,生成较高磁场强度是必需的。这种系统的样品制备,将遵照与极性系统相同样的规则。由于在非极性分散剂中,通常很少有离子以抑制Zeta电位分析仪,所测量的实际值似乎是非常高的,如200或250 mV。在这样的非极性系统中,稀释后样品的平衡呈时间依赖性,平衡时间可超过24小时。弯曲式毛细管样品池,如下所述填充样品池:用注射器取至少1ml样品。将注射器与样品池一端连接。

将样品缓慢注射入样品池,检查是否除去所有气泡。如果在样品池端口下形成一个气泡,将注射器活塞拉回,使气泡吸回注射器体,再重新注射。在样品池的透明毛细区域,不应看到任何气泡。必要时,轻拍样品池以驱逐气泡。检查样品池电极是否仍然完全被样品淹没。移去溅在外部电极上的任何液体。

05

测试流程

纳米粒度及Zeta电位分析仪的操作步骤:(操作型号:ZS920

(1)依次打开稳压电源、电脑、电位仪开关。

(2)打开ZS920。

(3)使用进样器将样品缓慢推入样品池,放入仪器。

(4)选择Measure菜单下的Measurement,输入样品名称。

(5)系统自检完毕后,启动Start。

(6)实验完毕后,依次关掉电位仪、电脑、稳压电源开关。

(7)关机,先将软件关闭,再关闭纳米粒度及Zeta电位分析仪仪器。

06

数据分析

1.Zeta电位数据

2.粒径分布数据

07

案例

Zeta电位值随金属氧化物中金属原子离子半径的变化而显著变化,证实了金属氧化物的团聚和游离MexOy的释放程度在很大程度上取决于它们的内在性质。(DOI:10.1088/0957-4484/27/44/445702)

Fig.1. Effect of TiO2NP size on the absolute value of the Zeta potential in H2O (ζH2O, black squares) and in KCl (ζKClPREDred circles)

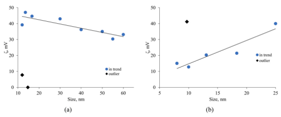
②Zeta电位通常用于估计纳米材料的表面电荷和稳定性,因为这些特性的变化直接影响给定纳米颗粒的生物活性。Natalia Sizochenko等人报告了一个新的整理数据集,测量了208个二氧化硅和金属氧化物纳米颗粒在不同介质中的Zeta电位。(DOI:10.1016/j.impact.2021.100317)

Fig. 2. Basic trends observed for change of Zeta potentials in water for (a) Al2O3and (b) CeO2.

③V. Uskokovic等人采用动态光散射和电动力学测量的方法,对重组全长人淀粉原蛋白(rH174)和两种蛋白水解产物(rH163和rH146)的纳米颗粒的大小、ζ电位和等电点进行了分析。(DOI:10.1177/0022034509354455

Fig.3.Functions of the average particle size and ζ-potential on pH for the aqueous suspensions of rH174 (a), rH163 (b), and rH146 (c)

08

常见问题

1.粒径分布偏大的原因是什么?

样品可能团聚或者没有分散好,建议延长超声时间或者加入合适分散剂。

2.动态光散射仪(DLS)和激光粒度仪的粒度可测范围分别是?

DLS的粒度可测范围为nm级,激光粒度仪的粒度可测范围为μm级,具体范围不同型号略有不同。

3.样品用电镜拍出来的结果和DLS测试结果不相符是为什么?

电镜的粒径分析结果仅适用于所选微区,DLS的测试结果则更具整体代表性。

4.Zeta电位跟文献差别很大的原因是什么?

Zeta电位是特定环境下的测试结果,要看下测试分散剂种类,pH等是否跟文献一致。

以上内容,如有误读和纰漏,敬请指正*

联系方式:183 3727 7368(微信同)

来源于:网络,侵权告诉          www.guolvfenlitech.com










鲜花

握手

雷人

路过

鸡蛋
环球过滤分离技术网,专注于过滤分离净化技术行业!
X
在线客服

QQ|Archiver|手机版|小黑屋|环球过滤分离技术网  

Copyright©2016-2036 www.guolvfenlitech.com 环球过滤分离技术网All Rights Reserved.

免责声明: 本网不承担任何由内容提供商/者提供的信息所引起的争议和法律责任!

GMT+8, 2026-4-29 10:04 , Processed in 0.081264 second(s), 10 queries , File On.

返回顶部